| 索引号: |
11340102K16196605N -202603-00002 |
信息分类: |
分配结果 |
| 发布机构: |
瑶海区三里街街道办事处 |
生成日期: |
2026-03-19 |
| 文 号: |
,, |
有效性: |
有效 |
| 生效时间: |
有效 |
废止时间: |
暂无 |
| 名 称: |
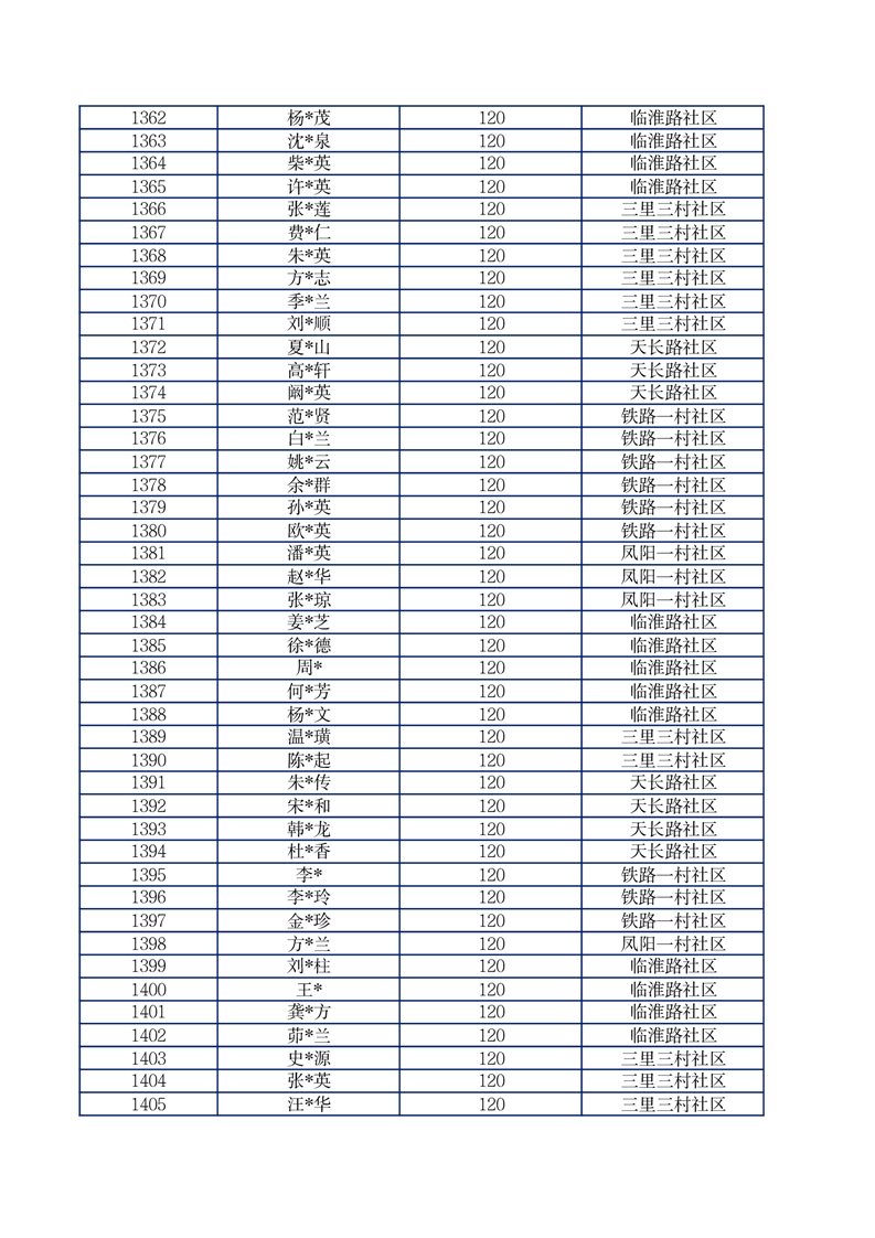
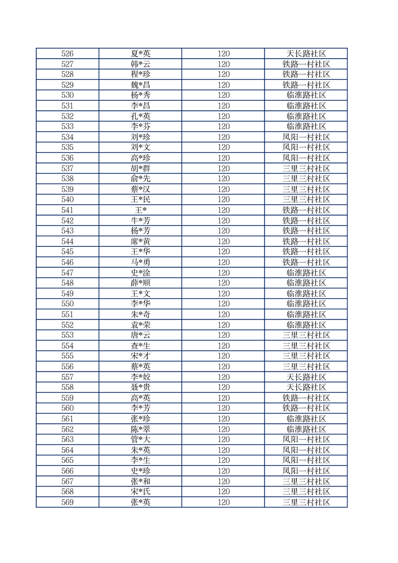
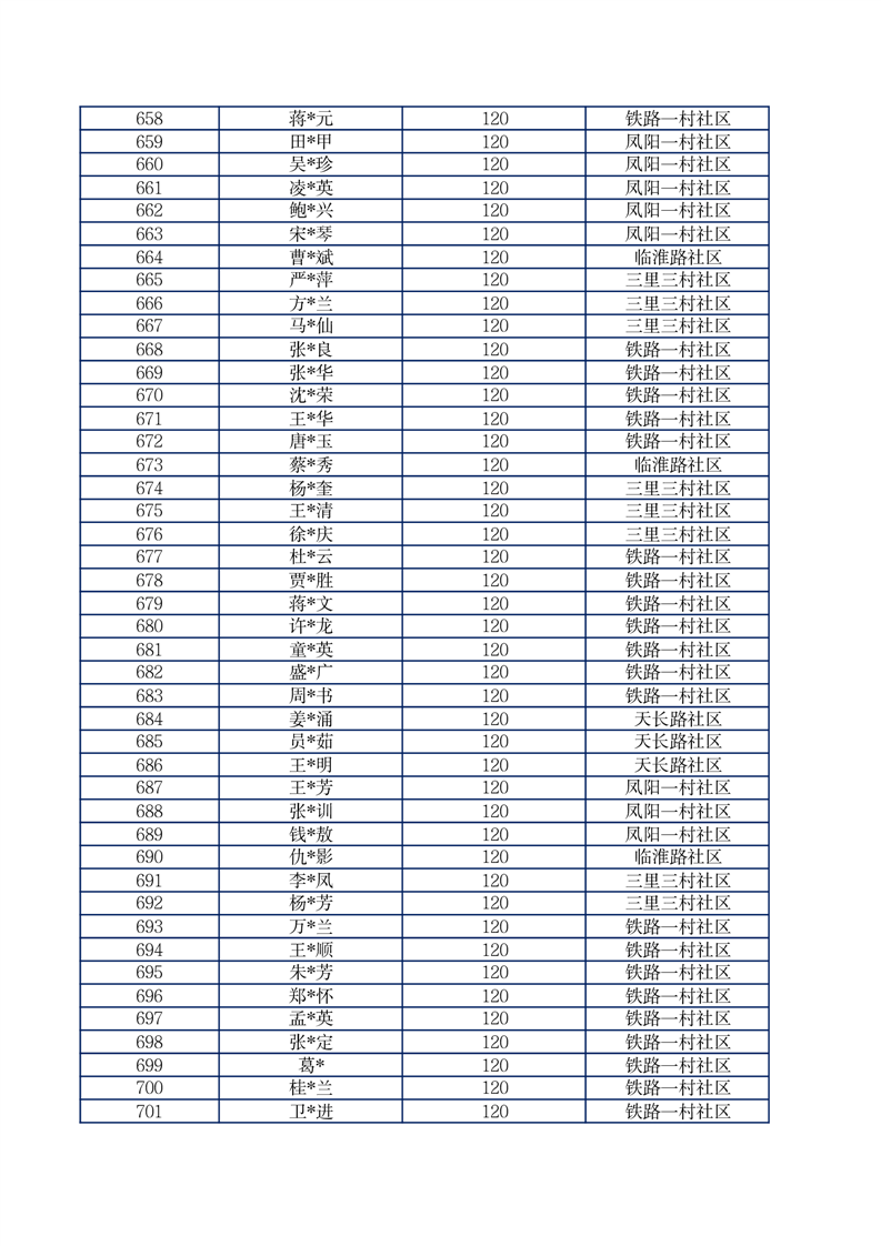
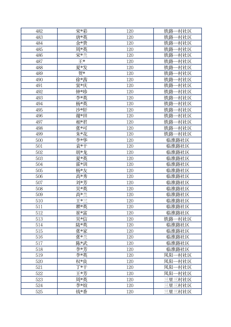
【分配结果】(2026年2月)三里街街道80周岁以上高龄津贴发放表 |
失效时间: |
暂无 |
| 关键词: |
|
| 索引号: |
11340102K16196605N -202603-00002 |
| 信息分类: |
分配结果 |
| 发布机构: |
瑶海区三里街街道办事处 |
| 生成日期: |
2026-03-19 |
| 名 称: |
【分配结果】(2026年2月)三里街街道80周岁以上高龄津贴发放表 |
| 失效时间: |
暂无 |
| 有效性: |
有效 |
| 生效时间: |
有效 |
| 废止时间: |
暂无 |
| 文 号: |
,, |
| 关键词: |
|
【分配结果】(2026年2月)三里街街道80周岁以上高龄津贴发放表
发布时间: 2026-03-19 12:02 信息来源: 瑶海区三里街街道办事处